Enquiry
Steel That Puts Strength On Your Side.
Home
About us
About us
Vision & Mission
Product
MS Black Round Tubes
Hollow Sections
GI & GP Pipes
Chokhat
Single Door
Double Door
Appilication Area
Enquiry
Contact us
Products We Deal With
Hollow Sections
Home
Product
Hollow Sections
Hollow
Sections
Applications
Surface Protection
Construction
Machinery
Automotive
Furniture
Storage System
Transmission Tower
Black (Self Colored Uncoated)
Varnish/Oil Coating
Hot Dip Galvanised
Pre-Galvanised
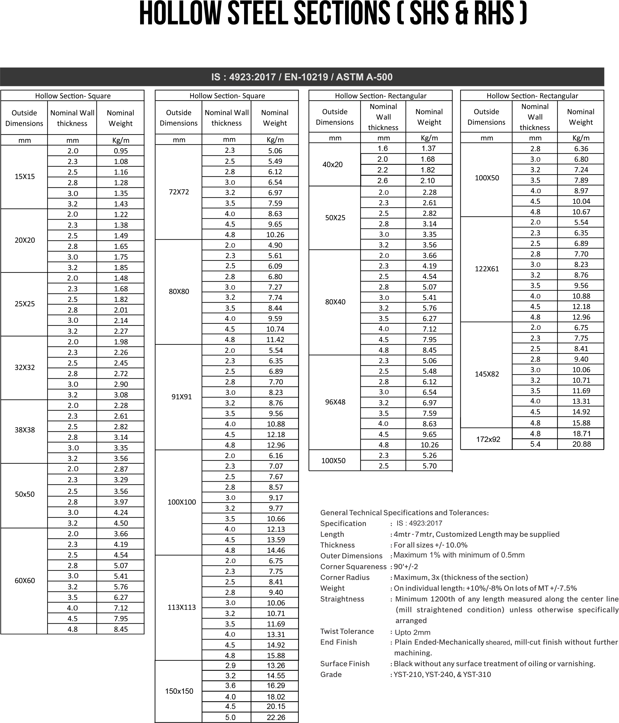
Technical Data for Hollow Section
✖
Loading...
Need Help?
Chat with us